03 函数的增长

3.1 一些符号

  • o 相当于
  • 渐近上界O 相当于
    Pasted image 20241017204355.png
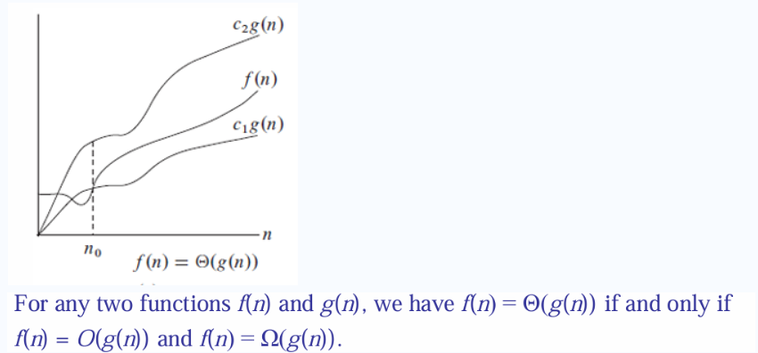
  • 渐近紧界相当于
    Pasted image 20241017204409.png
  • 渐近下界相当于
    Pasted image 20241017204438.png
  • 相当于
  • 传递性
  • 自反性
  • 对称性
  • 反对称性

3.2 递归式的复杂度

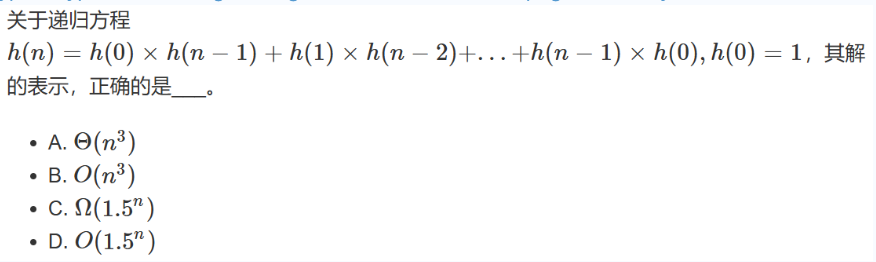
递归式的复杂度一定是指数,如2n

例1: Pasted image 20241017204457.png

例2:选C Pasted image 20241017204510.png

3.3 用主方法求解递归式


例:Pasted image 20241017204521.png

Built with MDFriday ❤️