9.1 最小值和最大值
9.1.1 顺序统计量(Order statistics)
- 在一个由𝑛个元素组成的集合中,第i个顺序统计量是该集合中第i小的元素。
- 最小值是第1个顺序统计量(i=1)
- 最大值是第n个顺序统计量(i=n)
- 中位数(median)是它所属集合的“中点元素”。
- 当𝑛为奇数时,中位数位于
处; - 当𝑛为偶数时,中位数位于
和 这两处。 - 不考虑𝑛的奇偶性,下中位数位于
处,上中位数位于 处。
- 当𝑛为奇数时,中位数位于
问题1:寻找最小值或最大值
-
复杂度:最少需要进行n-1次比较
-
伪代码
Minimum(A) min = A[1] for i=2 to A.length if min > A[i] min = A[i] return min
问题2:同时找到最小值和最大值
- 复杂度:最多
次比较就可以同时找到最小值和最大值 - 思路
- 将一对输入元素相互进行比较。
- 把较小的元素与当前的最小值进行比较,并更新最小值。
- 把较大的元素与当前的最大值进行比较,并更新最大值。
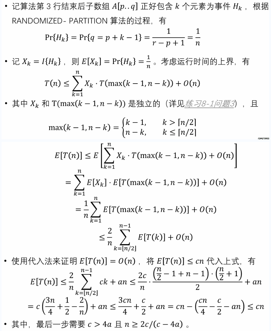
9.2 期望为线性时间的选择算法
-
复杂度:最坏情况
,期望运行时间
-
伪代码
Randomized-select(A, p, r, i) if p==r return A[p] q = Randomized-partition(A, p, r) k = q-p+1 if i==k return A[q] elif i<k return Randomized-select(A, p, q-1, i) else return Randomized-select(A, q+1, r, i-k) -
思路
- 分:将输入数组A划分成前k-1小的元素,第k小的元素和后n-k小的元素。
- 治:若i=k,则A[q]即为所求。若i<k,则递归地到前k-1小的元素中选择第i小的元素。若i>k,则递归地到后n-k小的元素中寻找第i-k小的元素。
9.3 最坏情况为线性时间的选择算法
- 复杂度:最坏情况
- 思路:通过执行下列步骤,算法SELECT可以确定一个有𝑛>1个不同元素的输入 数组中第𝑖小的元素。(𝑛=1时SELECT直接返回唯一的元素即可)
- 将输入数组的𝑛个元素划分为每组5个元素的
组,以及由剩下的 个元素组成的一组(可能没有)。 - 寻找这
组中每一组的中位数。 - 对第2步中找出的
个中位数,递归调用SELECT以找出其中位数x。 - 以x为主元对数组进行划分,记划分后x的下标为k。
- 若𝑖=𝑘,则返回𝑥。若𝑖<𝑘,则递归调用SELECT来寻找前𝑘−1个数中的第𝑖小的数。若𝑖>𝑘,则递归调用SELECT 来寻找后𝑛−𝑘个数中第i-k小的数。
- 将输入数组的𝑛个元素划分为每组5个元素的

