- 动态规划方法通常用来求解最优化问题(optimization problem)。
- 动态规划算法设计步骤:
- 刻画一个最优解的结构特征;
- 递归定义最优解的值;
- 计算最优解的值,通常采用自底向上的方法;
- 利用计算出的信息构造一个最优解。
- 最优子结构性质:问题的最优解由相关子问题的最优解组合而成,而这些问题可以独立求解。
15.1 钢条切割
15.1.1 题目介绍
给定一段长度为
15.1.2 法1:自顶向下递归实现
- 思路:我们将钢条从左边切割下长度为
的一段,只对右边剩下的长度为 的一段继续进行切割(递归求解),对左边的一段则不在进行切割。即问题分解的方式为:将长度为 的钢条分解为左边开始一段,以及剩余部分继续分解的结果。这样,不做任何切割的方案就可以描述为:第一段的长度为 ,收益为 ,剩余部分长度为 ,对应的收益为 。于是我们可以得到公式: 。 - 伪代码
CUT_ROD(p, n)
if n == 0
return 0
q = -∞
for i = 1 to n
q = max(q, p[i]+CUT_ROD(p, n-1))
return q
- 复杂度:
15.1.3 !法2:带备忘的自顶向下法(top-down with memoization)
- 思路
此方法仍按自然的递归形式编写过程,但过程会保存每个子问题的解(通常保存在一个数组或散列表中)。当需要一个子问题的解时,过程首先检查是否已经保存过此解。如果是,则直接返回保存的值,从而节省了计算时间;否则,按通常方式计算这个子问题。我们称这个递归过程是带备忘的(memoized),因为它“记住”了之前已经计算出的结果, - 伪代码
MEMOIZED_CUT_ROD(p, n)
let r[0..n] be a new array
for i = 0 to n
r[i] = -∞
return MEMOIZED_CUT_ROD_AUX(p, n, r)
MEMOIZED_CUT_ROD_AUX(p, n, r)
if r[n] >= 0
return r[n]
if n == 0
q = 0
else
q = -∞
for i = 1 to n
q = max(q, p[i] + MEMOIZED_CUT_ROD_AUX(p, n-i, r))
r[n] = q
return q
- c语言实现
int max(int a, int b){
if(a > b){
return a;
}else{
return b;
}
}
int MEMOIZED_CUT_ROD_AUX(int* p, int n, int* r){
int q;
if(r[n] >= 0){
return r[n];
}
if(n == 0){
q = 0;
}else{
q = -1;
for(int i=1; i<=n; i++){
q = max(q, p[i]+MEMOIZED_CUT_ROD_AUX(p, n-i, r));
}
}
r[n] = q;
return q;
}
int MEMOIZED_CUT_ROD(int* p, int n){
int r[MAX];
for(int i=0; i<=n; i++){
r[i] = -1;
}
return MEMOIZED_CUT_ROD_AUX(p, n, r);
}
- 复杂度:
15.1.4 !法3:自底向上法(bottom-up method)
- 思路
这种方法一般需要恰当定义子问题“规模的概念”,使得任何子问题的求解都只依赖于“更小的”子问题的求解。因而我们可以将子问题按规模排序,按由小至大的顺序进行求解。当求解某个子问题时,它所依赖的那些更小的子问题都已求解完毕,结果已经保存。每个子问题只需求解一次,当我们求解它(也是第一次遇到它)时,它的所有前提子问题都已求解完成。 - 伪代码
BOTTOM_UP_CUT_ROD(p, n)
let r[0..n] be a new array
r[0] = 0
for j = 1 to n
q = -∞
for i = 1 to j
q = max(q, p[i] + r[j-i])
r[j] = q
return r[n]
- c语言实现
int max(int a, int b){
if(a > b){
return a;
}else{
return b;
}
}
int BOTTOM_UP_CUT_ROD(int *p, int n){
int r[MAX];
r[0] = 0;
for(int j=1; j<=n; j++){
int q = -1;
for(int i=1; i<=j; i++){
q = max(q, p[i] + r[j-i]);
}
r[j] = q;
}
return r[n];
}
- 复杂度:
15.1.5 !给出最大收益及最优切割方案
- 思路:
- 前文给出的钢条切割问题的动态规划算法返回最优解的收益值,但并未返回解本身(一个长度列表,给出切割后每段钢条的长度)。我们可以扩展动态规划算法,使之对每个子问题不仅保存最优收益值,还保存对应的切割方案。利用这些信息,我们就能输出最优解。下面的 EXTENDED_BOTTOM_UP_CUT_ROD 对长度为
的钢条不仅计算最大收益值 ,还保存最优解对应的第一段钢条的切割长度 。 - PRINT_CUT_ROD_SOLUTION 接受两个参数:价格表
和钢条长度 ,然后调用 EXTENDED-BOTTOM-UPCUT-ROD 来计算切割下来的每段钢条的长度 ,最后输出长度为 的钢条的完整的最优切割方案。
- 前文给出的钢条切割问题的动态规划算法返回最优解的收益值,但并未返回解本身(一个长度列表,给出切割后每段钢条的长度)。我们可以扩展动态规划算法,使之对每个子问题不仅保存最优收益值,还保存对应的切割方案。利用这些信息,我们就能输出最优解。下面的 EXTENDED_BOTTOM_UP_CUT_ROD 对长度为
- 伪代码
EXTENDED_BOTTOM_UP_CUT_ROD(p, n)
let r[0..n] ans s[0..n] be new arrays
r[0] = 0
for j = 1 to n
q = -∞
for i = 1 to j
if q < p[i]+r[j-i]
q = p[i]+r[j-i]
s[j] = i
r[j] = q
return r ans s
PRINT_CUT_ROD_SOLUTION(p, n)
(r, s) = EXTENDED_BOTTOM_UP_CUT_ROD(p, n)
while n > 0
print s[n]
n = n-s[n]
- c语言实现
int s[MAX], r[MAX];
void EXTENDED_BOTTOM_UP_CUT_ROD(int *p, int n){
r[0] = 0;
for(int j=1; j<=n; j++){
int q = -1;
for(int i=1; i<=j; i++){
if(q < p[i]+r[j-i]){
q = p[i]+r[j-i];
s[j] = i;
}
}
r[j] = q;
}
}
void PRINT_CUT_ROD_SOLUTION(int *p,int n){
EXTENDED_BOTTOM_UP_CUT_ROD(p, n);
while(n > 0){
printf("%d ", s[n]);
n -= s[n];
}
}
15.1.6 子问题图
15.2 矩阵链乘法
15.2.1 题目介绍
- 我们称有如下性质的矩阵乘积链的积是完全括号化的(fully parenthesized):它是单一矩阵,或者是两个完全括号化的矩阵乘积链的积,且已外加括号。
例如,如果矩阵链为 ,则共有5种完全括号化的矩阵乘积链: - 矩阵链乘法问题(matrix-chain multiplication problem)可描述如下:给定n个矩阵的链
,矩阵 是规模为 ,求完全括号化方案,使得计算乘积 所需标量乘法次数最少。
15.2.2 思路&伪代码
步骤1:最优括号化方案的结构特征
- 假设
的最优括号化方案的分割点在 和 之间,那么对子链 和 进行括号化的方法,就是它自身的最优括号化方案 - 也就是说,为了构造一个矩阵链乘法问题实例的最优解,我们可以将问题划分为两个子问题(
和 的最优括号化问题),求出子问题实例的最优解,然后将子问题的最优解组合起来。
步骤2:一个递归求解方案
对矩阵链乘法问题,我们可以将对所有
步骤3:计算最优代价
- 伪代码
MATRIX_CHAIN_ORDER(p)
n = p.length-1
let m[1..n,1..n] and s[1..n,1..n] be new tables
for i = 1 to n
m[i,i] = 0
for l = 2 to n // l is the chain length
for i = 1 to n-l+1
j = i+l-1
m[i,j] = ∞
for k = i to j-1
q = m[i,k] + m[k+1,j] + p[i-1]*p[k]*p[j]
if q < m[i,j]
m[i.j] = q
s[i,j] = k
return m and s
- 例
步骤4:构造最优解
每个表项 MATRIX_CHAIN_ORDER得到的表s及下标i和j。调用PRINT_OPTIMAL_PARENS(s,1,n)即可输出
PRINT_OPTIMAL_PARENS(s,i,j)
if i == j
print"A"
else
print"("
PRINT_OPTIMAL_PARENS(s,i,s[i,j])
PRINT_OPTIMAL_PARENS(s,s[i,j]+1,j)
print")"
15.2.3 !c语言实现
/*
* p: 表示矩阵的规模,矩阵 A_i 的规模用 p_i-1 * p_i 表示
* m: 计算矩阵A_i..j所需标量乘法次数的最小值
* s: s[i,j]表示A_i A_i+1 ... A_j最优括号化方案的分割点位置k
*/
#define MAX 100
long long p[MAX],m[MAX][MAX],s[MAX][MAX];
void MATRIX_CHAIN_ORDER(int n){
for(int i=1; i<=n; i++){
m[i][i] = 0;
}
for(int l=2; l<=n; l++){ // l is the chain length
for(int i=1; i<=n-l+1; i++){
int j = i+l-1;
m[i][j] = 9223372036854775807; // long long 最大值
for(int k=i; k<=j-1; k++){
long long q = m[i][k]+m[k+1][j] + p[i-1]*p[k]*p[j];
if(q < m[i][j]){
m[i][j] = q;
s[i][j] = k;
}
}
}
}
}
void PRINT_OPTIMAL_PARENS(long long i, long long j){
if(i == j){
printf("A");
}else{
printf("(");
PRINT_OPTIMAL_PARENS(i, s[i][j]);
PRINT_OPTIMAL_PARENS(s[i][j]+1, j);
printf(")");
}
}
int main() {
int n;
scanf("%d", &n);
for(int i=0; i<=n; i++){
scanf("%lld", &p[i]);
}
MATRIX_CHAIN_ORDER(n);
PRINT_OPTIMAL_PARENS(1,n);
return 0;
}
15.4 最长公共子序列
15.4.1 题目介绍
- 子序列:给定一个序列
,另一个序列 满足如下条件时成为 的子序列(subsequence),即存在一个严格递增的 的下表序列 ,对所有 ,满足 。
例如, 是 的子序列,对应的下标序列为 。 - 公共子序列:给定两个序列
和 ,如果 Z 既是 X 的子序列,也是 Y 的子序列,我们称它是 X 和 Y 的公共子序列(common subsequence)。
例如,如果 ,那么序列 就是 和 的公共子序列。但它不是 和 的最长公共子序列(LCS),因为它长度为3,而 也是 和 的公共子序列,其长度为4。 是 和 的最长公共子序列, 也是,因为 X 和 Y 不存在长度大于等于5的公共子序列。 - 最长公共子序列问题(longest-common-subsequence problem):给定两个序列
和 ,求 和 长度最长的公共子序列。
15.4.2 思路&伪代码
步骤1:刻画最长公共子序列的特征
令
- 如果
,则 且 是 和 的一个 。 - 如果
,则 意味着 是 和 的一个 。 - 如果
,则 且 是 和 的一个 。
步骤2:递归式
定义
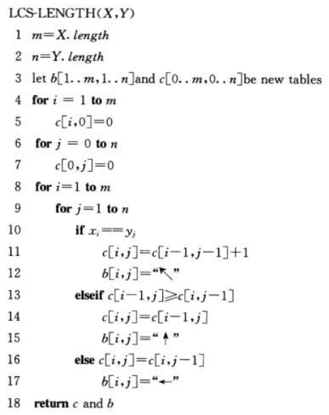
步骤3:计算LCS的长度(自底向上)
过程 LCS_LENGTH 接受两个序列
步骤4:构造LCS
特别地,我们可以去掉表b,因为每个
项只依赖于表c中的其他三项: 、 和 。给定 的值,我们可以在 时间内判断出在计算 时使用了这三项中的哪一项。
如果只需要计算
的长度,只需要保存表c中的两行(当前正在计算的一行和前一行)
15.4.3 !c语言实现
复杂度:
#include <stdio.h>
#include <string.h>
#define MAX 100
int c[MAX][MAX]={};
void LCS_LENGTH(char *x, char *y){
int xLen = strlen(x), yLen = strlen(y);
for(int i=1; i<xLen; i++){
if(y[0] == x[i] || c[i-1][0] == 1){
c[i][0] = 1;
}
}
for(int i=1; i<yLen; i++){
if(x[0] == y[i] || c[0][i-1] == 1){
c[0][i] = 1;
}
}
for(int i=1; i<xLen; i++){
for(int j=1; j<yLen; j++){
if(x[i] == y[j]){
c[i][j] = c[i-1][j-1] + 1;
}else if(c[i-1][j] >= c[i][j-1]){
c[i][j] = c[i-1][j];
}else{
c[i][j] = c[i][j-1];
}
}
}
}
void PRINT_LCS(char *x, char *y, int i, int j){
if(i == -1 || j == -1){
return;
}
if(x[i] == y[j]){
PRINT_LCS(x, y, i-1, j-1);
printf("%c ", x[i]);
}else if(c[i-1][j] >= c[i][j-1]){
PRINT_LCS(x, y, i-1, j);
}else{
PRINT_LCS(x, y, i, j-1);
}
}
int main() {
char x[MAX] = "ABCBDAB", y[MAX] = "BDCABA";
LCS_LENGTH(x,y);
PRINT_LCS(x, y, strlen(x)-1, strlen(y)-1);
return 0;
}
15.5 最优二叉搜索树
15.5.1 题目介绍
- 最优二叉搜索树(optimal binary serach tree)问题:给定一个
个不同关键字的已排序的序列 ,我们希望用这些关键字构造一棵二叉搜索树。对每个关键字因 此 ,都有一个概率 ,表示其搜索频率。有些要搜索的值可能不在 中,因此我们还有 “伪关键字”个 表示不在 中的值。 表示所有小于 的值, 表示所有大于 的值,对 ,伪关键字, , , 表示所有在 和 之间的值。对每个伪关键字 ,也都有一个概率 表示对应的搜索频率。下图显示了对一个 n=5 个关键字的集合构造的两棵二叉搜索树。每个关键字 是一个内部结点,而每个伪关键字 是一个叶结点。每次搜索要么成功(找到某个关键字 )要么失败(找到某个为关键字 ),因此有如下公式: - 最优二叉搜索树:对于一个给定的概率集合,我们希望构造一棵期望搜索代价最小的二叉搜索树,我们称之为最优二叉搜索树
- 穷举法获得最优二叉搜索树的时间复杂度为
15.5.2 思路&伪代码
步骤1:最优二叉搜索树的结构
给定关键字序列
特别的,我们认为包含关键字序列
步骤2:一个递归算法
选取子问题域为:求解包含关键字
对于包含关键字
因此,若
注意,
因此
可得最终递归公式:
并定义
步骤3:计算最优二叉搜索树的期望搜索代价
为提高效率,用
伪代码:接受概率列表
OPTIMAL_BST(p, q, n)
let e[1..n+1,0..n],w[1..n+1,0..n],and root[1..n,1..n] be new tables
for i=1 to n+1
e[i,i-1] = q[i-1]
w[i,i-1] = q[i-1]
for l=1 to n
for i=1 to n-l+1
j = i+l-1
e[i,j] = ∞
w[i,j] = w[i,j-1]+p[j]+q[j]
for r=i to j
t = e[i,r-1]+e[r+1,j]+w[i,j]
if t<e[i,j]
e[i,j] = t
root[i,j] = r
return e and root
15.5.3 !c语言实现
复杂度:
#include <stdio.h>
#define MAX (1000+10)
#define MAXE 1000000000
double p[MAX], q[MAX], w[MAX][MAX], e[MAX][MAX];
int root[MAX][MAX], n = 5;
void optimalBST(double *p,double *q,int n);
void printRoot();
void printOptimalBST(int i,int j,int r);
int main() {
scanf("%d", &n);
for(int i=1; i<=n; i++){
scanf("%lf", &p[i]);
}
for(int i=0; i<=n; i++){
scanf("%lf", &q[i]);
}
optimalBST(p,q,n);
printRoot();
printf("最优二叉树结构:\n");
printOptimalBST(1,n,-1);
return 0;
}
void optimalBST(double *p,double *q,int n){
// 初始化只包括虚拟键的子树
for (int i = 1;i <= n + 1;++i){
w[i][i - 1] = q[i - 1];
e[i][i - 1] = q[i - 1];
}
// 由上到下,由左到右逐步计算
for (int len = 1;len <= n;++len){
for (int i = 1;i <= n - len + 1;++i){
int j = i + len - 1;
e[i][j] = MAXE;
w[i][j] = w[i][j - 1] + p[j] + q[j];
// 求取最小代价的子树的根
for (int k = i;k <= j;++k){
double temp = e[i][k - 1] + e[k + 1][j] + w[i][j];
if (temp < e[i][j]){
e[i][j] = temp;
root[i][j] = k;
}
}
}
}
}
// 输出最优二叉查找树所有子树德根
void printRoot(){
printf("各子树的根\n");
for (int i = 1;i <= n;++i){
for (int j = 1;j <= n;++j){
printf("%d ", root[i][j]);
}
puts("");
}
puts("");
}
// 打印最优二叉查找树的结构
// 打印出[i,j]子树,它是根r的左子树和右子树
void printOptimalBST(int i,int j,int r){
int rootChild = root[i][j];
if (rootChild == root[1][n]){
// 输出整棵树的根
printf("k%d是根\n", rootChild);
printOptimalBST(i,rootChild - 1,rootChild);
printOptimalBST(rootChild + 1,j,rootChild);
return;
}
if (j < i - 1){
return;
}else if (j == i - 1){ // 遇到虚拟键
if (j < r){
printf("d%d是k%d的左孩子\n", j, r);
}else {
printf("d%d是k%d的右孩子\n", j, r);
}
return;
}else{ // 遇到内部结点
if (rootChild < r){
printf("k%d是k%d的左孩子\n", rootChild, r);
}else{
printf("k%d是k%d的右孩子\n", rootChild, r);
}
}
printOptimalBST(i,rootChild - 1,rootChild);
printOptimalBST(rootChild + 1,j,rootChild);
}








